一些走過的路
一個讀書小天地
Sunday, April 26, 2020
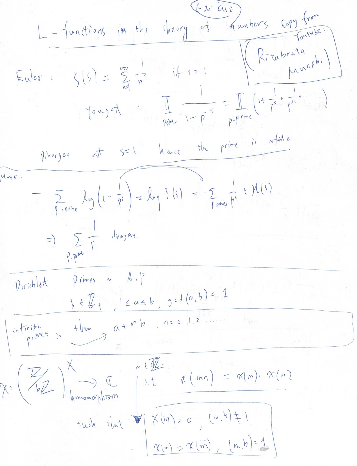
L function 的筆記 啥是L function
L function
至少有四種起源
一種是Number theory like
Zeta function
一種是
elliptic curve
一種是
M
odular form
以下是自己作的筆記
粗淺介紹一下
L function
L function 的資料庫:
https://www.lmfdb.org/
No comments:
Post a Comment
Newer Post
Older Post
Home
Subscribe to:
Post Comments (Atom)
No comments:
Post a Comment